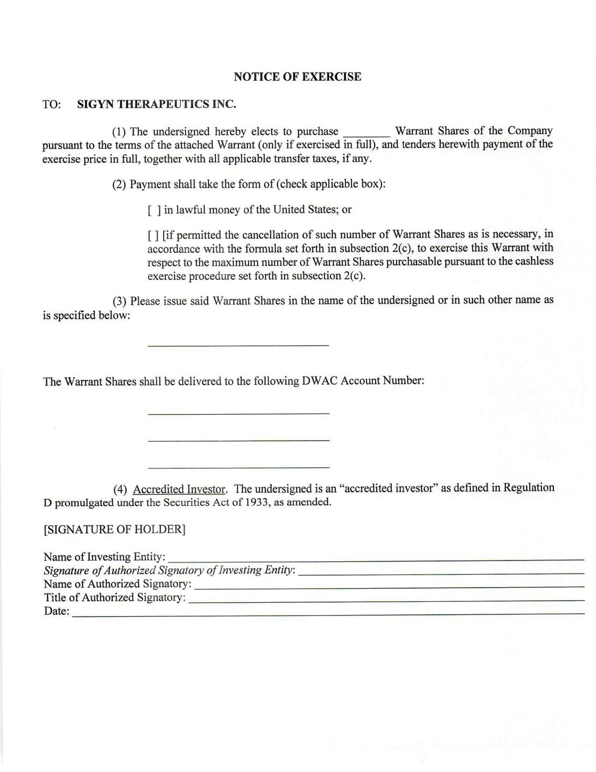
Exhibit 10.16